MINISTÉRIO DA SAÚDE

AGÊNCIA NACIONAL DE VIGILÂNCIA SANITÁRIA

RESOLUÇÃO - RDC  Nº 351, DE 20 DE MARÇO DE 2020

Dispõe sobre a atualização do Anexo I (Listas de Substâncias Entorpecentes, Psicotrópicas, Precursoras e Outras sob Controle Especial) da Portaria SVS/MS nº 344, de 12 de maio de 1998, e dá outras providências. 

 

O Diretor-Presidente Substituto da Agência Nacional de Vigilância Sanitária, no uso da atribuição que lhe confere o art. 47, IV, aliado ao art. 53, V do Regimento Interno aprovado pela Resolução de Diretoria Colegiada - RDC n° 255, de 10 de dezembro de 2018, resolve, ad referendum, adotar a seguinte Resolução de Diretoria Colegiada e determinar a sua publicação. 

Art. 1º Publicar a atualização do Anexo I (Listas de Substâncias Entorpecentes, Psicotrópicas, Precursoras e Outras sob Controle Especial) da Portaria SVS/MS nº. 344, de 12 de maio de 1998, republicada no Diário Oficial da União de 1º de fevereiro de 1999, estabelecendo as seguintes alterações, conforme previsto no Anexo I desta Resolução: 

I.  INCLUSÃO

1.1. Lista "C1": CLOROQUINA

1.2. Lista "C1": HIDROXICLOROQUINA  

Art. 2º Os medicamentos à base de CLOROQUINA e HIDROXICLOROQUINA ficam sujeitos à Receita de Controle Especial em duas vias, sendo a 1ª via retida no estabelecimento farmacêutico e a 2ª via devolvida ao Paciente.

Art. 3º No período de 30 dias após a entrada em vigor desta Resolução, a dispensação dos medicamentos à base de CLOROQUINA e HIDROXICLOROQUINA poderá ser efetuada também mediante receita médica comum, devendo o farmacêutico registrar na receita a comprovação do atendimento.

Art. 4º Os medicamentos à base de CLOROQUINA e HIDROXICLOROQUINA ficam sujeitos aos procedimentos de escrituração no Sistema Nacional de Gerenciamento de Produtos Controlados (SNGPC), previstos pela Resolução de Diretoria Colegiada - RDC nº 22/2014.

Art. 5º Os medicamentos à base de CLOROQUINA e HIDROXICLOROQUINA não estão sujeitos aos demais controles estabelecidos pelas Portarias SVS/MS nº 344/1998 e 06/1999, incluindo as determinações referentes à embalagem e rotulagem.

Art. 6º Esta Resolução entra em vigor na data de sua publicação. 

ANTONIO BARRA TORRES

Diretor-Presidente

 

Este texto não substitui o publicado no DOU de 20.3.2020 - Edição extra G

ANEXO I

MINISTÉRIO DA SAÚDE

AGÊNCIA NACIONAL DE VIGILÂNCIA SANITÁRIA

GERÊNCIA-GERAL DE MONITORAMENTO DE PRODUTOS SUJEITOS À VIGILÂNCIA SANITÁRIA

ATUALIZAÇÃO N. 72

 LISTAS DA PORTARIA SVS/MS N.º 344 DE 12 DE MAIO DE 1998 (DOU DE 1/2/99) 

LISTA – A1

LISTA DAS SUBSTÂNCIAS ENTORPECENTES

(Sujeitas à Notificação de Receita “A”)

1. ACETILMETADOL

2. ALFACETILMETADOL

3. ALFAMEPRODINA

4. ALFAMETADOL

5. ALFAPRODINA

6. ALFENTANILA

7. ALILPRODINA

8. ANILERIDINA

9. BEZITRAMIDA

10. BENZETIDINA

11. BENZILMORFINA

12. BENZOILMORFINA

13. BETACETILMETADOL

14. BETAMEPRODINA

15. BETAMETADOL

16. BETAPRODINA

17. BUPRENORFINA

18. BUTORFANOL

19. CLONITAZENO

20. CODOXIMA

21. CONCENTRADO DE PALHA DE DORMIDEIRA

22. DEXTROMORAMIDA

23. DIAMPROMIDA

24. DIETILTIAMBUTENO

25. DIFENOXILATO

26. DIFENOXINA

27. DIIDROMORFINA

28. DIMEFEPTANOL (METADOL)

29. DIMENOXADOL

30. DIMETILTIAMBUTENO

31. DIOXAFETILA

32. DIPIPANONA

33. DROTEBANOL

34. ETILMETILTIAMBUTENO

35. ETONITAZENO

36. ETOXERIDINA

37. FENADOXONA

38. FENAMPROMIDA

39. FENAZOCINA

40. FENOMORFANO

41. FENOPERIDINA

42. FENTANILA

43. FURETIDINA

44. HIDROCODONA

45. HIDROMORFINOL

46. HIDROMORFONA

47. HIDROXIPETIDINA

48. INTERMEDIÁRIO DA METADONA (4-CIANO-2-DIMETILAMINA-4,4-DIFENILBUTANO)

49. INTERMEDIÁRIO DA MORAMIDA (ÁCIDO 2-METIL-3-MORFOLINA-1,1-DIFENILPROPANO CARBOXÍLICO)

50. INTERMEDIÁRIO “A” DA PETIDINA (4 CIANO-1-METIL-4-FENILPIPERIDINA)

51. INTERMEDIÁRIO “B” DA PETIDINA  (ÉSTER ETÍLICO DO ÁCIDO 4-FENILPIPERIDINA-4-CARBOXILÍCO)

52. INTERMEDIÁRIO “C” DA PETIDINA  (ÁCIDO-1-METIL-4-FENILPIPERIDINA-4-CARBOXÍLICO)

53. ISOMETADONA

54. LEVOFENACILMORFANO

55. LEVOMETORFANO

56. LEVOMORAMIDA

57. LEVORFANOL

58. METADONA

59. METAZOCINA

60. METILDESORFINA

61. METILDIIDROMORFINA

62. METOPONA

63. MIROFINA

64. MORFERIDINA

65. MORFINA

66. MORINAMIDA

67. NICOMORFINA

68. NORACIMETADOL

69. NORLEVORFANOL

70. NORMETADONA

71. NORMORFINA

72. NORPIPANONA

73. N-OXICODEÍNA

74. N-OXIMORFINA

75. ÓPIO

76. ORIPAVINA

77. OXICODONA

78. OXIMORFONA

79. PETIDINA

80. PIMINODINA

81. PIRITRAMIDA

82. PROEPTAZINA

83. PROPERIDINA

84. RACEMETORFANO

85. RACEMORAMIDA

86. RACEMORFANO

87. REMIFENTANILA

88. SUFENTANILA

89. TAPENTADOL

90. TEBACONA

91. TEBAÍNA

92. TILIDINA

93. TRIMEPERIDINA 

ADENDO:

1) ficam também sob controle:

1.1. os sais, éteres, ésteres e isômeros (exceto os isômeros dextrometorfano, (+)3-metoxi-N-metilmorfinan, e o Dextrorfano, (+) 3-hidroxi-N-metilmorfinan), das substâncias enumeradas acima, sempre que seja possível a sua existência;

1.2. os sais de éteres, ésteres e isômeros (exceto os isômeros dextrometorfano, (+)3-metoxi-N-metilmorfinan, e o Dextrorfano, (+) 3-hidroxi-N-metilmorfinan), das substâncias enumeradas acima, sempre que seja possível a sua existência.

2) preparações à base de DIFENOXILATO, contendo por unidade posológica, não mais que 2,5 miligramas de DIFENOXILATO calculado como base, e uma quantidade de Sulfato de Atropina equivalente a, pelo menos, 1,0% da quantidade de DIFENOXILATO, ficam sujeitas a prescrição da Receita de Controle Especial, em 2 (duas) vias e os dizeres de rotulagem e bula devem apresentar a seguinte frase: “VENDA SOB PRESCRIÇÃO MÉDICA – SÓ PODE SER VENDIDO COM RETENÇÃO DA RECEITA“.

3) preparações à base de ÓPIO, contendo até 5 miligramas de morfina anidra por mililitros, ou seja, até 50 miligramas de ÓPIO,  ficam sujeitas a prescrição da RECEITA DE CONTROLE ESPECIAL, em 2 (duas) vias e os dizeres de rotulagem e bula devem apresentar a seguinte frase: “VENDA SOB PRESCRIÇÃO MÉDICA – SÓ PODE SER VENDIDO COM RETENÇÃO DA RECEITA“.

4) fica proibida a comercialização e manipulação de todos os medicamentos que contenham ÓPIO e seus derivados sintéticos e CLORIDRATO DE DIFENOXILATO e suas associações, nas formas farmacêuticas líquidas ou em xarope para uso pediátrico (Portaria  SVS/MS  n.º 106 de 14 de setembro de 1994 – DOU 19/9/94).

5) preparações medicamentosas na forma farmacêutica de comprimidos de liberação controlada à base de OXICODONA, contendo não mais que 40 miligramas dessa substância, por unidade posológica, ficam sujeitas a prescrição em RECEITA DE CONTROLE ESPECIAL, em 2 (duas) vias e os dizeres de rotulagem e bula devem apresentar a seguinte frase: “VENDA SOB PRESCRIÇÃO MÉDICA – SÓ PODE SER VENDIDO COM RETENÇÃO DA RECEITA”.

6) excetua-se dos controles referentes a esta Lista o isômero proscrito alfa-PVP, que está relacionado na Lista “F2” deste regulamento.

7) excetuam-se dos controles referentes a esta Lista os isômeros relacionados nominalmente em outra Lista deste regulamento.

8) preparações medicamentosas na forma farmacêutica adesivos transdérmicos contendo BUPRENORFINA em matriz polimérica adesiva, ou seja, sem reservatório de substância ativa, ficam sujeitas a prescrição em RECEITA DE CONTROLE ESPECIAL em 2 (duas) vias e os dizeres de rotulagem e bula devem apresentar a seguinte frase: “VENDA SOB PRESCRIÇÃO MÉDICA – SÓ PODE SER VENDIDO COM RETENÇÃO DA RECEITA”.

9) a importação e a exportação de padrões analíticos à base das substâncias BUTORFANOL, MORINAMIDA e TAPENTADOL, em que a quantidade do ativo sujeito a controle especial não exceda 500 mg por unidade, não requer Autorização de Importação e Autorização de Exportação, respectivamente. O disposto neste adendo também se aplica aos padrões analíticos à base dos sais, éteres, ésteres e isômeros, assim como dos sais de éteres, de ésteres e de isômeros, das substâncias citadas, a menos que sejam explicitamente excetuados ou constantes de listas de controle mais restrito e desde que a quantidade do ativo sujeito a controle especial não ultrapasse o limite especificado.

10) excetuam-se dos controles referentes a esta lista os isômeros não listados nominalmente e que sejam componentes de medicamentos registrados na Anvisa, bem como os medicamentos que os contenham.

LISTA – A2

LISTA DAS SUBSTÂNCIAS ENTORPECENTES DE USO PERMITIDO SOMENTE EM CONCENTRAÇÕES ESPECIAIS

(Sujeitas à Notificação de Receita “A”) 

1. ACETILDIIDROCODEINA

2. CODEÍNA

3. DEXTROPROPOXIFENO

4. DIIDROCODEÍNA

5. ETILMORFINA

6. FOLCODINA

7. NALBUFINA

8. NALORFINA

9. NICOCODINA

10. NICODICODINA

11. NORCODEÍNA

12. PROPIRAM

13. TRAMADOL 

ADENDO:

1) ficam também sob controle:

1.1. os sais, éteres, ésteres e isômeros das substâncias enumeradas acima, sempre que seja possível a sua existência;

1.2. os sais de éteres, ésteres e isômeros das substâncias enumeradas acima, sempre que seja possível a sua existência.

2) preparações à base de ACETILDIIDROCODEÍNA, CODEÍNA, DIIDROCODEÍNA, ETILMORFINA, FOLCODINA, NICODICODINA, NORCODEÍNA, inclusive as misturadas a um ou mais componentes, em que a quantidade de entorpecentes não exceda 100 miligramas por unidade posológica, e em que a concentração não ultrapasse a 2,5% nas preparações de formas indivisíveis ficam sujeitas prescrição da Receita de Controle Especial, em 2 (duas) vias e os dizeres de rotulagem e bula devem apresentar a seguinte frase: "VENDA SOB PRESCRIÇÃO MÉDICA – SÓ PODE SER VENDIDO COM RETENÇÃO DA RECEITA".

3) preparações à base de TRAMADOL, inclusive as misturadas a um ou mais componentes, em que a quantidade não exceda 100 miligramas de TRAMADOL por unidade posológica ficam sujeitas a prescrição da Receita de Controle Especial, em 2 (duas) vias e os dizeres de rotulagem e bula devem apresentar a seguinte frase: "VENDA SOB PRESCRIÇÃO MÉDICA – SÓ PODE SER VENDIDO COM RETENÇÃO DA RECEITA".

4) preparações à base de DEXTROPROPOXIFENO, inclusive as misturadas a um ou mais componentes, em que a quantidade de entorpecente não exceda 100 miligramas por unidade posológica e em que a concentração não ultrapasse 2,5% nas preparações indivisíveis, ficam sujeitas a prescrição da Receita de Controle Especial, em 2 (duas) vias e os dizeres de rotulagem e bula devem apresentar a seguinte frase: "VENDA SOB PRESCRIÇÃO MÉDICA – SÓ PODE SER VENDIDO COM RETENÇÃO DA RECEITA".

5) preparações à base de NALBUFINAinclusive as misturadas a um ou mais componentes, em que a quantidade não exceda 10 miligramas de CLORIDRATO DE NALBUFINA por unidade posológica ficam sujeitas a prescrição da Receita de Controle Especial, em 2 (duas) vias e os dizeres de rotulagem e bula devem apresentar a seguinte frase: "VENDA SOB PRESCRIÇÃO MÉDICA – SÓ PODE SER VENDIDO COM RETENÇÃO DA RECEITA".

6) preparações à base de PROPIRAM, inclusive as misturadas a um ou mais componentes, contendo não mais que 100 miligramas de PROPIRAM por unidade posológica e associados, no mínimo, a igual quantidade de metilcelulose, ficam sujeitas a prescrição da Receita de Controle Especial, em 2 (duas) vias e os dizeres de rotulagem e bula deverão apresentar a seguinte frase: "VENDA SOB PRESCRIÇÃO MÉDICA – SÓ PODE SER VENDIDO COM RETENÇÃO DA RECEITA".

7) excetuam-se dos controles referentes a esta Lista os isômeros relacionados nominalmente em outra Lista deste regulamento.

8) a importação e a exportação de padrões analíticos à base das substâncias NALBUFINA e TRAMADOL, em que a quantidade do ativo sujeito a controle especial não exceda 500 mg por unidade, não requer Autorização de Importação e Autorização de Exportação, respectivamente. O disposto neste adendo também se aplica aos padrões analíticos à base dos sais, éteres, ésteres e isômeros, assim como dos sais de éteres, de ésteres e de isômeros, das substâncias citadas, a menos que sejam explicitamente excetuados ou constantes de listas de controle mais restrito e desde que a quantidade do ativo sujeito a controle especial não ultrapasse o limite especificado.

9) excetuam-se dos controles referentes a esta lista os isômeros não listados nominalmente e que sejam componentes de medicamentos registrados na Anvisa, bem como os medicamentos que os contenham.

LISTA – A3

 LISTA DAS SUBSTÂNCIAS PSICOTRÓPICAS

 (Sujeita à Notificação de Receita “A”) 

1.ANFETAMINA

2.ATOMOXETINA

3.CATINA

4.CLOBENZOREX

5.CLORFENTERMINA

6.DEXANFETAMINA

7.DRONABINOL

8.FEMETRAZINA

9.FENCICLIDINA

10.FENETILINA

11.LEVANFETAMINA

12.LEVOMETANFETAMINA

13.LISDEXANFETAMINA

14.METILFENIDATO

15. METILSINEFRINA

16.MODAFINILA

17.TANFETAMINA 

ADENDO:

1) ficam também sob controle:

1.1 os sais, éteres, ésteres e isômeros das substâncias enumeradas acima, sempre que seja possível a sua existência;

1.2 os sais de éteres, ésteres e isômeros das substâncias enumeradas acima, sempre que seja possível a sua existência.

2) ficam sujeitos aos controles referentes a esta Lista os medicamentos registrados na Anvisa que possuam em sua formulação derivados de Cannabis sativa, em concentração de no máximo 30 mg de tetrahidrocannabinol (THC) por mililitro e 30 mg de canabidiol por mililitro.

3) excetuam-se dos controles referentes a esta Lista os isômeros relacionados nominalmente em outra Lista deste regulamento.

4) a importação e a exportação de padrões analíticos à base das substâncias ATOMOXETINA, CLOBENZOREX, CLORFENTERMINA, LISDEXANFETAMINA, MODAFINILA, METILSINEFRINA e TANFETAMINA, em que a quantidade do ativo sujeito a controle especial não exceda 500 mg por unidade, não requer Autorização de Importação e Autorização de Exportação, respectivamente. O disposto neste adendo também se aplica aos padrões analíticos à base dos sais, éteres, ésteres e isômeros, assim como dos sais de éteres, de ésteres e de isômeros, das substâncias citadas, a menos que sejam explicitamente excetuados ou constantes de listas de controle mais restrito e desde que a quantidade do ativo sujeito a controle especial não ultrapasse o limite especificado.

5) excetuam-se dos controles referentes a esta lista os isômeros não listados nominalmente e que sejam componentes de medicamentos registrados na Anvisa, bem como os medicamentos que os contenham.

6) os controles desta Lista se aplicam à substância DRONABINOL somente quando obtida sinteticamente e desde que não estejam presentes outros componentes sujeitos a controle especial, ainda que na forma de impurezas. 

7) estão sujeitos aos controles desta Lista os insumos farmacêuticos, nas formas de derivado vegetal, fitofármaco e a granel, à base de derivados de Cannabis sativa, destinados à fabricação dos Produtos de Cannabis regularizados nos termos da Resolução da Diretoria Colegiada - RDC nº 327, de 09 de dezembro de 2019.

8) estão sujeitos aos controles desta Lista os Produtos de Cannabis regularizados nos termos da Resolução da Diretoria Colegiada - RDC nº 327, de 09 de dezembro de 2019, que contenham tetrahidrocanabinol (THC) acima de 0,2%. 

LISTA – B1

LISTA DAS SUBSTÂNCIAS PSICOTRÓPICAS

(Sujeitas à Notificação de Receita “B”) 

1.        ALOBARBITAL

2.        ALPRAZOLAM

3.        AMINEPTINA

4.        AMOBARBITAL

5.        APROBARBITAL

6.        BARBEXACLONA

7.        BARBITAL

8.        BROMAZEPAM

9.        BROTIZOLAM

10.     BUTABARBITAL

11.     BUTALBITAL

12.     CAMAZEPAM

13.     CETAZOLAM

14.     CICLOBARBITAL

15.     CLOBAZAM

16.     CLONAZEPAM

17.     CLORAZEPAM

18.     CLORAZEPATO

19.     CLORDIAZEPÓXIDO

20.     CLORETO DE ETILA

21.     CLORETO DE METILENO/DICLOROMETANO

22.     CLOTIAZEPAM

23.     CLOXAZOLAM

24.     DELORAZEPAM

25.     DIAZEPAM

26.     ESTAZOLAM

27.     ETCLORVINOL

28.     ETILANFETAMINA (N-ETILANFETAMINA)

29.     ETINAMATO

30.     FENAZEPAM

31.     FENOBARBITAL

32.     FLUDIAZEPAM

33.     FLUNITRAZEPAM

34.     FLURAZEPAM

35.     GHB - (ÁCIDO GAMA – HIDROXIBUTÍRICO)

36.     GLUTETIMIDA

37.     HALAZEPAM

38.     HALOXAZOLAM

39.     LEFETAMINA

40.     LOFLAZEPATO DE ETILA

41.     LOPRAZOLAM

42.     LORAZEPAM

43.     LORMETAZEPAM

44.     MEDAZEPAM

45.     MEPROBAMATO

46.     MESOCARBO

47.     METILFENOBARBITAL (PROMINAL)

48.     METIPRILONA

49.     MIDAZOLAM

50.     NIMETAZEPAM

51.     NITRAZEPAM

52.     NORCANFANO (FENCANFAMINA)

53.     NORDAZEPAM

54.     OXAZEPAM

55.     OXAZOLAM

56.     PEMOLINA

57.     PENTAZOCINA

58.     PENTOBARBITAL

59.     PERAMPANEL

60.     PINAZEPAM

61.     PIPRADROL

62.     PIROVALERONA

63.     PRAZEPAM

64.     PROLINTANO

65.     PROPILEXEDRINA

66.     SECBUTABARBITAL

67.     SECOBARBITAL

68.     TEMAZEPAM

69.     TETRAZEPAM

70.     TIAMILAL

71.     TIOPENTAL

72.     TRIAZOLAM

73.     TRICLOROETILENO

74.     TRIEXIFENIDIL

75.     VINILBITAL

76.     ZALEPLONA

77.     ZOLPIDEM

78.     ZOPICLONA 

ADENDO:

1) ficam também sob controle:

1.1. os sais, éteres, ésteres e isômeros das substâncias enumeradas acima, sempre que seja possível a sua existência;

1.2. os sais de éteres, ésteres e isômeros das substâncias enumeradas acima, sempre que seja possível a sua existência.

2) os medicamentos que contenham FENOBARBITAL, METILFENOBARBITAL (PROMINAL), BARBITAL e BARBEXACLONA, ficam sujeitos a prescrição da Receita de Controle Especial, em 2 (duas) vias e os dizeres de rotulagem e bula devem apresentar a seguinte frase: “VENDA SOB PRESCRIÇÃO MÉDICA – SÓ PODE SER VENDIDO COM RETENÇÃO DA RECEITA”.

3) em relação ao controle do CLORETO DE ETILA:

3.1. fica proibido o uso do CLORETO DE ETILA para fins médicos, bem como a sua utilização sob a forma de aerosol, aromatizador de ambiente ou de qualquer outra forma que possibilite o seu uso indevido.

3.2. o controle e a fiscalização da substância CLORETO DE ETILA, ficam submetidos ao Órgão competente do Ministério da Justiça e Segurança Pública, de acordo com a Lei nº 10.357 de 27/12/2001, Decreto nº 4.262 de 10/06/2002 e Portaria MJSP nº 240, de 12/03/2019.

4) preparações a base de ZOLPIDEM e de ZALEPLONA, em que a quantidade dos princípios ativos ZOLPIDEM e ZALEPLONA respectivamente, não excedam 10 miligramas por unidade posológica, ficam sujeitas a prescrição da Receita de Controle Especial, em 2 (duas) vias e os dizeres de rotulagem e bula devem apresentar a seguinte frase: "VENDA SOB PRESCRIÇÃO MÉDICA – SÓ PODE SER VENDIDO COM RETENÇÃO DA RECEITA".

5) preparações a base de ZOPICLONA em que a quantidade do princípio ativo ZOPICLONA não exceda  7,5 miligramas por unidade posológica, ficam sujeitas a prescrição da Receita de Controle Especial, em 2 (duas) vias e os dizeres de rotulagem e bula devem apresentar a seguinte frase: "VENDA SOB PRESCRIÇÃO MÉDICA – SÓ PODE SER VENDIDO COM RETENÇÃO DA RECEITA".

6) fica proibido o uso humano de CLORETO DE METILENO/DICLOROMETANO e de TRICLOROETILENO, por via oral ou inalação.

7) quando utilizadas exclusivamente para fins industriais legítimos, as substâncias CLORETO DE METILENO/DICLOROMETANO e TRICLOROETILENO estão excluídas dos controles referentes a esta Lista, estando submetidas apenas aos controles impostos pela Lista D2 deste Regulamento (controle do Ministério da Justiça e Segurança Pública).

8) excetua-se dos controles referentes a esta Lista, o isômero proscrito TH-PVP, que está relacionado na Lista "F2" deste regulamento.

9) os medicamentos que contenham PERAMPANEL ficam sujeitos à prescrição em Receita de Controle Especial, em 2 (duas) vias, e os dizeres de rotulagem e bula devem apresentar a seguinte frase: “VENDA SOB PRESCRIÇÃO MÉDICA – SÓ PODE SER VENDIDO COM RETENÇÃO DA RECEITA”.

10) excetuam-se dos controles referentes a esta Lista os isômeros relacionados nominalmente em outra Lista deste regulamento.

11) a importação e a exportação de padrões analíticos à base das substâncias APROBARBITAL, BARBEXACLONA, CLORAZEPAM, PERAMPANEL, PROLINTANO, PROPILEXEDRINA, TIAMILAL, TIOPENTAL, TRIEXIFENIDIL, ZALEPLONA e ZOPICLONA, em que a quantidade do ativo sujeito a controle especial não exceda 500 mg por unidade, não requer Autorização de Importação e Autorização de Exportação, respectivamente. O disposto neste adendo também se aplica aos padrões analíticos à base dos sais, éteres, ésteres e isômeros, assim como dos sais de éteres, de ésteres e de isômeros, das substâncias citadas, a menos que sejam explicitamente excetuados ou constantes de listas de controle mais restrito e desde que a quantidade do ativo sujeito a controle especial não ultrapasse o limite especificado.

12) excetuam-se dos controles referentes a esta lista os isômeros não listados nominalmente e que sejam componentes de medicamentos registrados na Anvisa, bem como os medicamentos que os contenham.

13) estão sujeitos aos controles desta Lista os Produtos de Cannabis regularizados nos termos da Resolução da Diretoria Colegiada - RDC nº 327, de 09 de dezembro de 2019, que contenham até 0,2% de tetrahidrocanabinol (THC). 

LISTA – B2

LISTA DAS SUBSTÂNCIAS PSICOTRÓPICAS ANOREXÍGENAS

(Sujeitas à Notificação de Receita “B2”) 

1. AMINOREX

2. ANFEPRAMONA

3. FEMPROPOREX

4. FENDIMETRAZINA

5. FENTERMINA

6. MAZINDOL

7. MEFENOREX

8. SIBUTRAMINA 

ADENDO:

1) ficam também sob controle:

1.1. os sais, éteres, ésteres e isômeros das substâncias enumeradas acima, sempre que seja possível a sua existência;

1.2. os sais de éteres, ésteres e isômeros das substâncias enumeradas acima, sempre que seja possível a sua existência.

2) excetua-se dos controles referentes a esta Lista, o isômero proscrito metanfetamina que está relacionado na Lista “F2” deste regulamento.

3) excetuam-se dos controles referentes a esta Lista, os isômeros proscritos 4-MEC, 5-MAPDB e pentedrona, que estão relacionados na Lista "F2" deste regulamento.

4) excetua-se das disposições legais deste Regulamento Técnico a substância DEET (N,N-dietil-3-metilbenzamida).

5) excetuam-se dos controles referentes a esta Lista os isômeros relacionados nominalmente em outra Lista deste regulamento.

6) A importação e a exportação de padrões analíticos à base de SIBUTRAMINA, em que a quantidade do ativo sujeito a controle especial não exceda 500 mg por unidade, não requer Autorização de Importação e Autorização de Exportação, respectivamente. O disposto neste adendo também se aplica aos padrões analíticos à base dos sais, éteres, ésteres e isômeros, assim como dos sais de éteres, de ésteres e de isômeros, da substância citada, a menos que sejam explicitamente excetuados ou constantes de listas de controle mais restrito e desde que a quantidade do ativo sujeito a controle especial não ultrapasse o limite especificado.

7) excetuam-se dos controles referentes a esta lista os isômeros não listados nominalmente e que sejam componentes de medicamentos registrados na Anvisa, bem como os medicamentos que os contenham. 

LISTA – C1

LISTA DAS OUTRAS SUBSTÂNCIAS SUJEITAS A CONTROLE ESPECIAL

(Sujeitas à Receita de Controle Especial em duas vias) 

1.        ACEPROMAZINA

2.        ÁCIDO VALPRÓICO

3.        AGOMELATINA

4.        AMANTADINA

5.        AMISSULPRIDA

6.        AMITRIPTILINA

7.        AMOXAPINA

8.        ARIPIPRAZOL

9.        ASENAPINA

10.     AZACICLONOL

11.     BECLAMIDA

12.     BENACTIZINA

13.     BENFLUOREX

14.     BENZIDAMINA

15.     BENZOCTAMINA

16.     BENZOQUINAMIDA

17.     BIPERIDENO

18.     BRIVARACETAM

19.     BUPROPIONA

20.     BUSPIRONA

21.     BUTAPERAZINA

22.     BUTRIPTILINA

23.     CANABIDIOL (CBD)

24.     CAPTODIAMO

25.     CARBAMAZEPINA

26.     CAROXAZONA

27.     CELECOXIBE

28.     CETAMINA

29.     CICLARBAMATO

30.     CICLEXEDRINA

31.     CICLOPENTOLATO

32.     CISAPRIDA

33.     CITALOPRAM

34.     CLOMACRANO

35.     CLOMETIAZOL

36.     CLOMIPRAMINA

37.     CLOREXADOL

38.     CLOROQUINA

39.     CLORPROMAZINA

40.     CLORPROTIXENO

41.     CLOTIAPINA

42.     CLOZAPINA

43.     DAPOXETINA

44.     DESFLURANO

45.     DESIPRAMINA

46.     DESVENLAFAXINA

47.     DEXETIMIDA

48.     DEXMEDETOMIDINA

49.     DIBENZEPINA

50.     DIMETRACRINA

51.     DISOPIRAMIDA

52.     DISSULFIRAM

53.     DIVALPROATO DE SÓDIO

54.     DIXIRAZINA

55.     DONEPEZILA

56.     DOXEPINA

57.     DROPERIDOL

58.     DULOXETINA

59.     ECTILURÉIA

60.     EMILCAMATO

61.     ENFLURANO

62.     ENTACAPONA

63.     ESCITALOPRAM

64.     ETOMIDATO

65.     ETORICOXIBE

66.     ETOSSUXIMIDA

67.     FACETOPERANO

68.     FEMPROBAMATO

69.     FENAGLICODOL

70.     FENELZINA

71.     FENIPRAZINA

72.     FENITOINA

73.     FLUFENAZINA

74.     FLUMAZENIL

75.     FLUOXETINA

76.     FLUPENTIXOL

77.     FLUVOXAMINA

78.     GABAPENTINA

79.     GALANTAMINA

80.     HALOPERIDOL

81.     HALOTANO

82.     HIDRATO DE CLORAL

83.     HIDROCLORBEZETILAMINA

84.     HIDROXICLOROQUINA 

85.     HIDROXIDIONA

86.     HOMOFENAZINA

87.     IMICLOPRAZINA

88.     IMIPRAMINA

89.     IMIPRAMINÓXIDO

90.     IPROCLOZIDA

91.     ISOCARBOXAZIDA

92.     ISOFLURANO

93.     ISOPROPIL-CROTONIL-URÉIA

94.     LACOSAMIDA

95.     LAMOTRIGINA

96.     LEFLUNOMIDA

97.     LEVETIRACETAM

98.     LEVOMEPROMAZINA

99.     LISURIDA

100.  LITIO

101.  LOPERAMIDA

102.  LOXAPINA

103.  LUMIRACOXIBE

104.  LURASIDONA

105.  MAPROTILINA

106.  MECLOFENOXATO

107.  MEFENOXALONA

108.  MEFEXAMIDA

109.  MEMANTINA

110.  MEPAZINA

111.  MESORIDAZINA

112.  METILNALTREXONA

113.  METILPENTINOL

114.  METISERGIDA

115.  METIXENO

116.  METOPROMAZINA

117.  METOXIFLURANO

118.  MIANSERINA

119.  MILNACIPRANA

120.  MILTEFOSINA

121.  MINAPRINA

122.  MIRTAZAPINA

123.  MISOPROSTOL

124.  MOCLOBEMIDA

125.  MOPERONA

126.  NALOXONA

127.  NALTREXONA

128.  NEFAZODONA

129.  NIALAMIDA

130.  NITRITO DE ISOBUTILA

131.  NOMIFENSINA

132.  NORTRIPTILINA

133.  NOXIPTILINA

134.  OLANZAPINA

135.  OPIPRAMOL

136.  OXCARBAZEPINA

137.  OXIBUPROCAÍNA (BENOXINATO)

138.  OXIFENAMATO

139.  OXIPERTINA

140.  PALIPERIDONA

141.  PARECOXIBE

142.  PAROXETINA

143.  PENFLURIDOL

144.  PERFENAZINA

145.  PERGOLIDA

146.  PERICIAZINA (PROPERICIAZINA)

147.  PIMOZIDA

148.  PIPAMPERONA

149.  PIPOTIAZINA

150.  PRAMIPEXOL

151.  PREGABALINA

152.  PRIMIDONA

153.  PROCLORPERAZINA

154.  PROMAZINA

155.  PROPANIDINA

156.  PROPIOMAZINA

157.  PROPOFOL

158.  PROTIPENDIL

159.  PROTRIPTILINA

160.  PROXIMETACAINA

161.  QUETIAPINA

162.  RAMELTEONA

163.  RASAGILINA

164.  REBOXETINA

165.  RIBAVIRINA

166.  RIMONABANTO

167.  RISPERIDONA

168.  RIVASTIGMINA

169.  ROFECOXIBE

170.  ROPINIROL

171.  ROTIGOTINA

172.  RUFINAMIDA

173.  SELEGILINA

174.  SERTRALINA

175.  SEVOFLURANO

176.  SULPIRIDA

177.  SULTOPRIDA

178.  TACRINA

179.  TERIFLUNOMIDA

180.  TETRABENAZINA

181.  TETRACAÍNA

182.  TIAGABINA

183.  TIANEPTINA

184.  TIAPRIDA

185.  TIOPROPERAZINA

186.  TIORIDAZINA

187.  TIOTIXENO

188.  TOLCAPONA

189.  TOPIRAMATO

190.  TRANILCIPROMINA

191.  TRAZODONA

192.  TRICLOFÓS

193.  TRIFLUOPERAZINA

194.  TRIFLUPERIDOL

195.  TRIMIPRAMINA

196.  TROGLITAZONA

197.  VALDECOXIBE

198.  VALPROATO SÓDICO

199.  VENLAFAXINA

200.  VERALIPRIDA

201.  VIGABATRINA

202.  VILAZODONA 

203.  VORTIOXETINA

204.  ZIPRAZIDONA

205.  ZOTEPINA

206.  ZUCLOPENTIXOL 

ADENDO:

1) ficam também sob controle:

1.1. os sais, éteres, ésteres e isômeros das substâncias enumeradas acima, sempre que seja possível a sua existência;

1.2. os sais de éteres, ésteres e isômeros das substâncias enumeradas acima, sempre que seja possível a sua existência.

1.3 o disposto nos itens 1.1 e 1.2 não se aplica a substância canabidiol.

2) os medicamentos à base da substância LOPERAMIDA ficam sujeitos a VENDA SOB PRESCRIÇÃO MÉDICA SEM RETENÇÃO DE RECEITA.

3) fica proibido a comercialização e manipulação de todos os medicamentos que contenham LOPERAMIDA ou em associações, nas formas farmacêuticas líquidas ou em xarope para uso pediátrico (Portaria SVS/MS  n.º 106 de 14 de setembro de 1994 – DOU 19/9/94).

4) só será permitida a compra e uso do medicamento contendo a substância MISOPROSTOL em estabelecimentos hospitalares devidamente cadastrados junto a Autoridade Sanitária para este fim;

5) os medicamentos à base da substância TETRACAÍNA ficam sujeitos a: (a) VENDA SEM PRESCRIÇÃO MÉDICA - quando tratar-se de preparações farmacêuticas de uso tópico odontológico, não associadas a qualquer outro princípio ativo; (b) VENDA COM PRESCRIÇÃO MÉDICA SEM A RETENÇÃO DE RECEITA - quando tratar-se de preparações farmacêuticas de uso tópico otorrinolaringológico, especificamente para Colutórios e Soluções utilizadas no tratamento de Otite Externa  e (c) VENDA SOB PRESCRIÇÃO MÉDICA COM RETENÇÃO DE RECEITA - quando tratar-se de preparações farmacêuticas de uso tópico oftalmológico.

6) excetuam-se das disposições legais deste Regulamento Técnico as substâncias DISSULFIRAM, LÍTIO (metálico e seus sais) e HIDRATO DE CLORAL, quando, comprovadamente, forem utilizadas para outros fins, que não as formulações medicamentosas, e, portanto não estão sujeitos ao controle e fiscalização previstos nas Portarias SVS/MS n.º 344/98 e nº. 6/99.

7) excetuam-se das disposições legais deste Regulamento Técnico os medicamentos a base de BENZIDAMINA cujas formas farmacêuticas sejam: pó para preparação extemporânea, solução ginecológica, spray, pastilha drops, colutório, pasta dentifrícia e gel.

8) fica proibido o uso de NITRITO DE ISOBUTILA para fins médicos, bem como a sua utilização como aromatizador de ambiente ou de qualquer outra forma que possibilite o seu uso indevido.

9) excetua-se das disposições legais deste Regulamento Técnico, o NITRITO DE ISOBUTILA, quando utilizado exclusivamente para fins industriais legítimos.

10) excetua-se das disposições legais deste Regulamento Técnico a substância prometazina.

11) excetuam-se dos controles referentes a esta Lista os isômeros relacionados nominalmente em outra Lista deste regulamento.

12) excetuam-se dos controles referentes a esta lista os isômeros não listados nominalmente e que sejam componentes de medicamentos registrados na Anvisa, bem como os medicamentos que os contenham.

13) os controles desta Lista se aplicam à substância CANABIDIOL somente quando obtida sinteticamente e desde que não estejam presentes outros componentes sujeitos a controle especial, ainda que na forma de impurezas. 

LISTA – C2

LISTA DE SUBSTÂNCIAS RETINOICAS

(Sujeitas à Notificação de Receita Especial) 

1. ACITRETINA

2. ADAPALENO

3. BEXAROTENO

4. ISOTRETINOÍNA

5. TRETINOÍNA 

ADENDO:

1) ficam também sob controle:

1.1. os sais, éteres, ésteres e isômeros das substâncias enumeradas acima, sempre que seja possível a sua existência;

1.2. os sais de éteres, ésteres e isômeros das substâncias enumeradas acima, sempre que seja possível a sua existência.

2) os medicamentos de uso tópico contendo as substâncias desta lista ficam sujeitos a VENDA SOB PRESCRIÇÃO MÉDICA SEM RETENÇÃO DE RECEITA.

3) excetuam-se dos controles referentes a esta Lista os isômeros relacionados nominalmente em outra Lista deste regulamento.

4) excetuam-se dos controles referentes a esta lista os isômeros não listados nominalmente e que sejam componentes de medicamentos registrados na Anvisa, bem como os medicamentos que os contenham. 

LISTA – C3

LISTA DE SUBSTÂNCIAS IMUNOSSUPRESSORAS

(Sujeitas à Notificação de Receita Especial) 

1. FTALIMIDOGLUTARIMIDA (TALIDOMIDA)

2. LENALIDOMIDA 

ADENDO: 

1) ficam também sob controle, todos os sais e isômeros das substâncias enumeradas acima, sempre que seja possível a sua existência.

2) excetuam-se dos controles referentes a esta Lista os isômeros relacionados nominalmente em outra Lista deste regulamento.

3) excetuam-se dos controles referentes a esta lista os isômeros não listados nominalmente e que sejam componentes de medicamentos registrados na Anvisa, bem como os medicamentos que os contenham.

4) o controle da substância lenalidomida e do medicamento que a contenha deve ser realizado mediante o atendimento dos requisitos constantes da RDC nº 191, de 11 de dezembro de 2017. 

LISTA – C5

LISTA DAS SUBSTÂNCIAS ANABOLIZANTES

 (Sujeitas à Receita de Controle Especial em duas vias) 

1. ANDROSTANOLONA

2. BOLASTERONA

3. BOLDENONA

4. CLOROXOMESTERONA

5. CLOSTEBOL

6. DEIDROCLORMETILTESTOSTERONA

7. DROSTANOLONA

8. ESTANOLONA

9. ESTANOZOLOL

10. ETILESTRENOL

11. FLUOXIMESTERONA OU FLUOXIMETILTESTOSTERONA

12. FORMEBOLONA

13. MESTEROLONA

14. METANDIENONA OU METANDROSTENOLONA

15. METANDRANONA

16. METANDRIOL

17. METENOLONA

18. METILTESTOSTERONA

19. MIBOLERONA

20. NANDROLONA

21. NORETANDROLONA

22. OXANDROLONA

23. OXIMESTERONA

24. OXIMETOLONA

25. PRASTERONA (DEIDROEPIANDROSTERONA – DHEA)

26. SOMATROPINA (HORMÔNIO DO CRESCIMENTO HUMANO)

27. TESTOSTERONA

28. TREMBOLONA 

ADENDO:

1) ficam também sob controle:

1.1 os sais, éteres, ésteres e isômeros das substâncias enumeradas acima, sempre que seja possível a sua existência;

1.2 os sais de éteres, ésteres e isômeros das substâncias enumeradas acima, sempre que seja possível a sua existência.

2) os medicamentos de uso tópico contendo as substâncias desta lista ficam sujeitos a VENDA SOB PRESCRIÇÃO MÉDICA SEM RETENÇÃO DE RECEITA.

3) excetuam-se dos controles referentes a esta Lista os isômeros relacionados nominalmente em outra Lista deste regulamento.

4) excetuam-se dos controles referentes a esta lista os isômeros não listados nominalmente e que sejam componentes de medicamentos registrados na Anvisa, bem como os medicamentos que os contenham. 

LISTA – D1

LISTA DE SUBSTÂNCIAS PRECURSORAS DE ENTORPECENTES E/OU PSICOTRÓPICOS

(Sujeitas à Receita Médica sem Retenção) 

1.        1-FENIL-2-PROPANONA

2.        3,4-MDP-2-P METIL ÁCIDO GLICÍDICO (PMK ÁCIDO GLICÍDICO)

3.        3,4-MDP-2-P METIL GLICIDATO (PMK GLICIDATO) 

4.        3,4 - METILENDIOXIFENIL-2-PROPANONA

5.        ÁCIDO ANTRANÍLICO

6.        ÁCIDO FENILACÉTICO

7.        ÁCIDO LISÉRGICO

8.        ÁCIDO N-ACETILANTRANÍLICO

9.        ALFA-FENILACETOACETONITRILO (APAAN)

10.     ALFA-FENILACETOACETAMIDA (APAA)

11.     ANPP ou (1-FENETIL-N-FENILPIPERIDIN-4-AMINA)

12.     DIIDROERGOMETRINA

13.     DIIDROERGOTAMINA

14.     EFEDRINA

15.     ERGOMETRINA

16.     ERGOTAMINA

17.     ETAFEDRINA

18.     HELIONAL

19.     ISOSAFROL

20.     ÓLEO DE SASSAFRÁS

21.     ÓLEO DA PIMENTA LONGA

22.     PIPERIDINA

23.     PIPERONAL

24.     PSEUDOEFEDRINA

25.     NPP ou (N-FENETIL-4-PIPERIDINONA)

26.     SAFROL 

ADENDO:

1) ficam também sob controle, todos os sais das substâncias enumeradas acima, sempre que seja possível a sua existência;

2) ficam também sob controle as substâncias: mesilato de diidroergotamina, TARTARATO DE DIIDROERGOTAMINA, maleato de ergometrina, TARTARATO DE ERGOMETRINA E tartarato de ergotamina.

3) excetua-se do controle estabelecido nas Portarias SVS/MS n.º344/98 e 6/99, as formulações não medicamentosas, que contém as substâncias desta lista quando se destinarem a outros seguimentos industriais.

4) óleo de pimenta longa é obtido da extração das folhas e dos talos finos da Piper hispidinervum C.DC., planta nativa da Região Norte do Brasil.

5) ficam também sob controle todos os isômeros ópticos da substância APAAN, sempre que seja possível sua existência.

6) a importação e a exportação de padrões analíticos à base de DIIDROERGOMETRINA, DIIDROERGOTAMINA e ETAFEDRINA, em que a quantidade do ativo sujeito a controle especial não exceda 500 mg por unidade, não requer Autorização de Importação e Autorização de Exportação, respectivamente. O disposto neste adendo também se aplica aos padrões analíticos à base dos sais das substâncias citadas, a menos que sejam explicitamente excetuados ou constantes de listas de controle mais restrito e desde que a quantidade do ativo sujeito a controle especial não ultrapasse o limite especificado.

7) quando utilizada exclusivamente para fins industriais legítimos, a substância HELIONAL está excluída dos controles estabelecidos pela Portaria SVS/MS nº 344/98. 

LISTA – D2

LISTA DE INSUMOS QUÍMICOS UTILIZADOS PARA FABRICAÇÃO E SÍNTESE DE ENTORPECENTES E/OU PSICOTRÓPICOS

(Sujeitos a Controle do Ministério da Justiça e Segurança Pública) 

1. ACETONA

2. ÁCIDO CLORÍDRICO

3. ÁCIDO SULFÚRICO

4. ANIDRIDO ACÉTICO

5. CLORETO DE ETILA

6. CLORETO DE METILENO/DICLOROMETANO

7. CLOROFÓRMIO

8. ÉTER ETÍLICO

9. METIL ETIL CETONA

10. PERMANGANATO DE POTÁSSIO

11. SULFATO DE SÓDIO

12. TOLUENO

13. TRICLOROETILENO 

ADENDO:

1) os produtos e insumos químicos desta Lista estão sujeitos a controle da Polícia Federal, de acordo com a Lei nº 10.357 de 27/12/2001, o Decreto nº 4.262 de 10/06/2002 e a Portaria MJSP nº 240, de 12/03/2019.

2) o insumo químico ou substância CLOROFÓRMIO está proibido para uso em medicamentos.

3) quando os insumos desta lista forem utilizados para fins de fabricação de produtos sujeitos a vigilância sanitária, as empresas devem atender a legislação sanitária específica. 

LISTA – E

LISTA DE PLANTAS PROSCRITAS QUE PODEM ORIGINAR SUBSTÂNCIAS ENTORPECENTES E/OU PSICOTRÓPICAS 

1. Cannabis sativa L.

2. Claviceps paspali Stevens & Hall.

3. Datura suaveolens Willd.

4. Erythroxylum coca Lam.

5. Lophophora williamsii Coult.

6. Papaver somniferum L.

7. Prestonia amazonica J. F. Macbr.

8. Salvia divinorum 

ADENDO:

1) ficam proibidas a importação, a exportação, o comércio, a manipulação e o uso das plantas enumeradas acima.

2) ficam também sob controle, todas as substâncias obtidas a partir das plantas elencadas acima, bem como os sais, isômeros, ésteres e éteres destas substâncias.

3) a planta Lophophora williamsii Coult. é comumente conhecida como cacto peyote.

4) excetua-se do controle estabelecido nas Portarias SVS/MS n.º 344/98 e 6/99, a importação de semente de dormideira (Papaver somniferum L.) quando, comprovadamente, for utilizada com finalidade alimentícia, devendo, portanto, atender legislação sanitária específica.

5) excetuam-se dos controles referentes a esta lista a substância CANABIDIOL obtida sinteticamente, que está relacionada na Lista "C1" deste regulamento, e a substância DRONABINOL obtida sinteticamente, que está relacionada na Lista "A3" deste regulamento.

6) excetua-se das disposições legais deste Regulamento Técnico a substância papaverina, bem como as formulações que a contenham, desde que estas não possuam outras substâncias sujeitas ao controle especial da Portaria SVS/MS nº 344/98.

7) fica permitida a importação de Produto derivado de Cannabis, por pessoa física, para uso próprio, mediante prescrição de profissional legalmente habilitado, para tratamento de saúde, aplicando-se os requisitos estabelecidos pela Resolução da Diretoria Colegiada - RDC nº 335, de 24 de janeiro de 2020.

8) excetuam-se dos controles referentes a esta lista os medicamentos registrados na Anvisa que possuam em sua formulação derivados de Cannabis sativa, em concentração de no máximo 30 mg de tetrahidrocannabinol (THC) por mililitro e 30 mg de canabidiol por mililitro, desde que sejam atendidas as exigências desta Resolução.

9) excetuam-se dos controles referentes a esta lista os isômeros das substâncias obtidas a partir das plantas elencadas acima não listados nominalmente e que sejam componentes de medicamentos registrados na Anvisa, bem como os medicamentos que os contenham.

10) excetuam-se dos controles referentes a esta lista os Produtos de Cannabis regularizados nos termos da Resolução da Diretoria Colegiada - RDC nº 327, de 09 de dezembro de 2019, os quais estão sujeitos aos controles estabelecidos pelos adendos 8 da Lista "A3" e 8 da Lista "B1", bem como os insumos farmacêuticos, nas formas de derivado vegetal, fitofármaco e a granel, à base de derivados de Cannabis sativa, a serem utilizados em sua fabricação, os quais estão sujeitos aos controles estabelecidos pelo adendo 7 da Lista "A3". 

LISTA – F

LISTA DAS SUBSTÂNCIAS DE USO PROSCRITO NO BRASIL 

LISTA F1 – SUBSTÂNCIAS ENTORPECENTES

1.

3-METILFENTANILA

ou

N-(3-METIL-1-(FENETIL-4-PIPERIDIL)PROPIONANILIDA

2.

3-METILTIOFENTANILA

ou

N-[3-METIL-1-[2-(2-TIENIL)ETIL]-4-PIPERIDIL]PROPIONANILIDA

3. 

4-FLUOROISOBUTIRFENTANIL 

ou

N-(4-FLUOROFENIL)-N-(1-FENILETILPIPERIDIN-4-IL)ISOBUTIRAMIDA

4.

ACETIL-ALFA-METILFENTANILA

ou

N-[1-(ALFA-METILFENETIL)-4-PIPERIDIL]ACETANILIDA

5.

ACETILFENTANIL

ou

N-[1-(2-FENILETIL)-4-PIPERIDIL]-N-FENILACETAMIDA

6.

ACETORFINA

ou

3-O-ACETILTETRAHIDRO-7-ALFA-(1-HIDROXI-1-METILBUTIL)-6,14-ENDOETENO-ORIPAVINA

7.

ACRILOILFENTANIL

ou

N-FENIL-N-[1-(2-FENILETIL)PIPERIDIN-4-IL]PROP-2-ENAMIDA

8.

AH-7921

ou

3,4-DICLORO-N-{[1-(DIMETILAMINO)CICLO-HEXIL] METIL}BENZAMIDA

9.

ALFA-METILFENTANILA

ou

N-[1-(ALFA-METILFENETIL)-4-PIPERIDIL]PROPIONANILIDA

10.

ALFA-METILTIOFENTANILA

ou

N-[1-[1-METIL-2-(2-TIENIl)ETIL]-4-PIPERIDIL]PROPIONANILIDA

11.

BETA-HIDROXI-3-METILFENTANILA

ou

N-[1-(BETA-HIDROXIFENETIL)-3-METIL-4-PIPERIDIL]PROPIONANILIDA

12.

BETA-HIDROXIFENTANILA

ou

N-[1-(BETA-HIDROXIFENETIL)-4-PIPERIDIL]PROPIONANILIDA

13.

BUTIRFENTANIL

ou

BUTIRIL FENTANIL; N-(1-FENETILPIPERIDIN-4-IL)-N-FENILBUTIRAMIDA

14.

CARFENTANIL

ou

4-CARBOMETOXIFENTANIL; METIL-FENILETIL-4-(N-FENILPROPIONAMIDA)PIPERIDINA-4-CARBOXILATO

15.

CETOBEMIDONA

ou

4-META-HIDROXIFENIL-1-METIL-4-PROPIONILPIPERIDINA

16.

CICLOPROPILFENTANIL

ou

N-FENIL-N-[1-(2-FENILETIL)PIPERIDIN-4-IL] CICLOPROPANOCARBOXAMIDA

17. 

COCAINA

ou

ÉSTER METÍLICO DA BENZOILECGONINA

18.

DESOMORFINA

ou

DIIDRODEOXIMORFINA

19.

DIIDROETORFINA

ou

7,8-DIIDRO-7-ALFA-[1-(R)-HIDROXI-1-METILBUTIL]-6,14-ENDO-ETANOTETRAHIDROORIPAVINA

20.

ECGONINA

ou

(-)-3-HIDROXITROPANO-2-CARBOXILATO

21.

ETORFINA

ou

TETRAHIDRO-7-ALFA-(1-HIDROXI-1-METILBUTIL)-6,14-ENDOETENO-ORIPAVINA

22.

FURANILFENTANIL

ou

N-(1-FENILETILPIPERIDIN-4-IL)-N-FENILFURAN-2-CARBOXAMIDA

23.

HEROINA

ou

DIACETILMORFINA

24.

MDPV

ou

1-(1,3-BENZODIOXOL-5-IL)-2-(PIRROLIDIN-1-IL)-1-PENTANONA

25.

METOXIACETILFENTANIL

ou

2-METOXI-N-FENIL-N-[1-(2-FENILETIL)-4-PIPERIDINIL]ACETAMIDA

26.

MPPP

ou

1-METIL-4-FENIL-4-PROPIONATO DE PIPERIDINA (ÉSTER)

27.

MT-45

ou

1-CICLOHEXIL-4-(1,2-DIFENILETIL)PIPERAZINA

28.

OCFENTANIL

ou

N-(2-FLUOROFENIL)-2-METOXI-N-[1-(2-FENILETIL)PIPERIDIN-4-YL]ACETAMIDA

29.

ORTO-FLUOROFENTANIL

ou

2-FLUOROFENTANIL; N-(2-FLUOROFENIL)-N-[1-(2-FENILETIL)-4-PIPERIDINIL]PROPANAMIDA

30.

PARA-FLUOROBUTIRFENTANIL

ou

 4-FLUOROBUTIRILFENTANIL; 4F-BF; N- (4-FLUOROFENIL) -N- [1-(2-FENILETIL) PIPERIDIN-4-IL] BUTANAMIDA)

31.

PARA-FLUOROFENTANILA

ou

4’-FLUORO-N-(1-FENETIL-4-PIPERIDIL])PROPIONANILIDA

32.

PEPAP

ou

1-FENETIL-4-FENIL-4-ACETATO DE PIPERIDINA (ÉSTER)

33. 

TETRAHIDROFURANILFENTANIL

ou

N-(1-FENILETILPIPERIDIN-4-IL)-N-FENILTETRAHIDROFURAN-2-CARBOXAMIDA

34.

TIOFENTANILA

ou

N-[1-[2-(TIENIL)ETIL]-4-PIPERIDIL]PROPIONANILIDA

35.

U-47700

ou

3,4-DICLORO-N-((1S,2S)-2-(DIMETILAMINO)CICLOHEXIL)-N-METILBENZAMIDA

 ADENDO: 

1)ficam também sob controle:

1.1.todos os sais e isômeros das substâncias enumeradas acima, sempre que seja possível a sua existência.

1.2.todos os ésteres e derivados da substância ECGONINA que sejam transformáveis em ECGONINA E COCAÍNA.

2) excetuam-se dos controles referentes a esta Lista os isômeros relacionados nominalmente em outra Lista deste regulamento.

3) exclui-se da proibição o uso médico-veterinário das substâncias carfentanil e etorfina, desde que devidamente autorizado pelo Ministério da Agricultura, Pecuária e Abastecimento e atendidos os demais requisitos de controle estabelecidos pelas legislações vigentes.

4) excetuam-se dos controles referentes a esta lista os isômeros não listados nominalmente e que sejam componentes de medicamentos registrados na Anvisa, bem como os medicamentos que os contenham.  

LISTA F2 – SUBSTÂNCIAS PSICOTRÓPICAS

a) SUBSTÂNCIAS

1.

(+) – LISÉRGIDA

ou

LSD; LSD-25; 9,10-DIDEHIDRO-N,N-DIETIL-6-METILERGOLINA-8BETA-CARBOXAMIDA

2.

2C-B

ou

4-BROMO-2,5-DIMETOXIFENILETILAMINA

3. 

2C-C

ou

4-CLORO-2,5-DIMETOXIFENILETILAMINA

4. 

2C-D

ou

4-METIL-2,5-DIMETOXIFENILETILAMINA

5. 

2C-E

ou

4-ETIL-2,5-DIMETOXIFENILETILAMINA

6. 

2C-F

ou

4-FLUOR-2,5-DIMETOXIFENILETILAMINA

7. 

2C-I

ou

4-IODO-2,5-DIMETOXIFENILETILAMINA

8. 

2C-T-2

ou

4-ETIL-TIO-2,5-DIMETOXIFENILETILAMINA

9. 

2C-T-7

ou

2,5-DIMETOXI-4-PROPILTIOFENILETILAMINA (2C-T-7)

10. 

2-MeO-DIFENIDINA

ou

  1-(1-(2-METOXIFENIL)-2-FENILETIL)PIPERIDINA; MXP; METOXIFENIDINA

11.

3-FLUOROFENMETRAZINA

ou

2-(3-FLUOROFENIL)-3-METILMORFOLINA; 3-FPM

12.

3-MeO-PCP

ou

3-METOXIFENCICLIDINA; 1-[1-(3-METOXIFENIL)CICLOHEXIL]PIPERIDINA

13. 

3-MMC

ou

3-METILMETCATINONA; 2-(METILAMINO)-1-(3-METILFENIL)-1-PROPANONA

14. 

4-AcO-DMT

ou

4-ACETOXI-N, N-DIMETILTRIPTAMINA

15. 

4-BROMOMETCATINONA

ou

4-BMC; BREFEDRONA; 1-(4-BROMOFENIL)-2-(METILAMINO)PROPAN-1-ONA

16. 

4-Cl-ALFA-PVP

ou

1-(4-CLOROFENIL)-2-(PIRROLIDIN-1-IL)PENTAN-1-ONA

17. 

4-CLOROMETCATINONA

ou

CLEFEDRONA; 4-CMC; 1-(4-CLOROFENIL)-2-(METILAMINO)PROPAN-1-ONA

18.

4-FA

ou

4-FLUOROANFETAMINA; 1-(4-FLUOROFENIL) PROPAN-2-AMINA

19.

4-FLUOROMETCATINONA

ou

FLEFEDRONA; 4-FMC; 1-(4-FLUOROFENIL)-2-(METILAMINO)PROPAN-1-ONA

20.

4-HO-MIPT

ou

3-{2-[METIL(PROPAN-2-IL)AMINO]ETIL}-1H-INDOL-4-OL ;  4-HIDROXI-N-ISOPROPIL-N-METILTRIPTAMINA

21.

4-MEAPP

ou

2-(ETILAMINO)-1-(4-METILFENIL)-1-PENTANONA; 4-METIL-ALFA-ETILAMINOPENTIOFENONA; N-ETIL-4'-METILNORPENTEDRONA

 22.

4-MEC

ou

4- METILETILCATINONA; 2-(ETILAMINA)-1-(4-METILFENIL)-PROPAN-1-ONA

23. 

4-METILAMINOREX

ou

(±)-CIS-2-AMINO-4-METIL-5-FENIL-2-OXAZOLINA

24. 

4-MTA

ou

4-METILTIOANFETAMINA

25. 

4,4’- DMAR

ou

4,4’- DIMETILAMINOREX; 4-METIL-5-(4-METILFENIL)-4,5-DIHIDRO-1,3-OXAZOL-2-AMINA

26. 

5-APB

ou

1-(BENZOFURAN-5-IL)PROPAN-2-AMINA

27. 

5-APDB

ou

1-(2,3-DIHIDROBENZOFURAN-5-IL)PROPAN-2-AMINA

28. 

5-EAPB

ou

1-(BENZOFURAN-5-IL)-N-ETILPROPAN-2-AMINA

29.

5F-ADB

ou

METIL-S-2-[1-(5-FLUOROPENTIL)-1H-INDAZOL-3-

CARBOXAMIDO]-3,3-DIMETILBUTANOATO

30.

5F-AKB48 

ou

5F-APINACA; N-(1-ADAMANTIL)-1-(5-FLUOROPENTIL)INDAZOL-3-CARBOXAMIDA

31.

5F-PB-22

ou

QUINOLIN-8-IL 1-(5-FLUOROPENTIL)-1H-INDOL-3-CARBOXILATO

32.

5-IAI

ou

2,3-DIHIDRO-5-IODO-1H-INDENO-2-AMINA

33. 

5-MAPDB

ou

1-(2,3-DIHIDROBENZOFURAN-5-IL)-N-METILPROPAN-2-AMINA

34. 

5-MeO-AMT

ou

5-METOXI-ALFA-METILTRIPTAMINA

35.

5-MeO-DALT

ou

N-[2-(5-METOXI-1H-INDOL-3-IL)ETIL]-N-(PROP-2-EN-1-IL)PROP-2-EN-1-AMINA; 5-METÓXI-N,N-DIALILTRIPTAMINA

36. 

5-MeO-DIPT

ou

5-METOXI-N,N-DIISOPROPILTRIPTAMINA

37. 

5-MeO-DMT

ou

5-METOXI-N,N-DIMETILTRIPTAMINA

38. 

5-MeO-MIPT

ou

5-METOXI-N,N-METIL ISOPROPILTRIPTAMINA

39.

25B-NBOH

ou

2-({[2-(4-BROMO-2,5-DIMETOXIFENIL)ETIL]AMINO}METIL)FENOL

40. 

25B-NBOMe

ou

2-(4-BROMO-2,5-DIMETOXI-FENIL)-N-[(2-METOXIFENIL)METIL]ETANOAMINA

41.

25C-NBF

ou

2-(4-CLORO-2,5-DIMETOXIFENIL)-N-(2-FLUOROBENZIL)ETANAMINA

42. 

25C-NBOH

ou

2-({[2-(4-CLORO-2,5-DIMETOXIFENIL)ETIL]AMINO}METIL)FENOL

43. 

25C-NBOMe

ou

2-(4-CLORO-2,5-DIMETOXI-FENIL)-N-[(2-METOXIFENIL)METIL]ETANOAMINA

44. 

25D-NBOMe

ou

2-(4-METIL-2,5-DIMETOXI-FENIL)-N-[(2-METOXIFENIL)METIL]ETANOAMINA

45.

25E-NBOH

ou

2-({[2-(4-ETIL-2,5-DIMETOXIFENIL)ETIL]AMINO}METIL)FENOL

46. 

25E-NBOMe

ou

2-(4-ETIL-2,5-DIMETOXI-FENIL)-N-[(2-METOXIFENIL)METIL]ETANOAMINA

47.

25H-NBOH

ou

2-({[2,5-DIMETOXIFENIL)ETIL]AMINO}METIL)FENOL

48. 

25H-NBOMe

ou

2-(2,5-DIMETOXI-FENIL)-N-[(2-METOXIFENIL)METIL]ETANOAMINA

49. 

25I-NBF

ou

Cimbi-21; 2C-I-NBF; N-(2-FLUOROBENZIL)-2-(4-IODO-2,5-DIMETOXIFENIL)ETAN-1-AMINA

50. 

25I-NBOH

ou

2CI-NBOH; 2-({[2-(4-IODO-2,5-DIMETOXIFENIL)ETIL]AMINO}METIL)FENOL

51. 

25I-NBOMe

ou

2-(4-IODO-2,5-DIMETOXI-FENIL)-N-[(2-METOXIFENIL)METIL]ETANOAMINA

52. 

25N-NBOMe

ou

2-(4-NITRO-2,5-DIMETOXI-FENIL)-N-[(2-METOXIFENIL)METIL]ETANOAMINA

53. 

25P-NBOMe

ou

2-(4-PROPIL-2,5-DIMETOXI-FENIL)-N-[(2-METOXIFENIL)METIL]ETANOAMINA

54. 

25T2-NBOMe

ou

2-(4-TIOETIL-2,5-DIMETOXI-FENIL)-N-[(2-METOXIFENIL)METIL]ETANOAMINA

55. 

25T4-NBOMe

ou

2-[4-(1-METIL-TIOETIL)-2,5-DIMETOXI-FENIL]-N-[(2-METOXIFENIL)METIL]ETANOAMINA

56. 

25T7-NBOMe

ou

2-(4-TIOPROPIL-2,5-DIMETOXI-FENIL)-N-[(2-METOXIFENIL)METIL]ETANOAMINA

57. 

30C-NBOMe

ou

C30-NBOMe; 2-(4-CLORO-2,5-DIMETOXIFENIL)-N-(3,4,5-TRIMETOXIBENZIL)ETAN-1-AMINA

58.

AB-CHMINACA

ou

N-(1-AMINO-3-METIL-1-OXOBUTAN-2-IL)-1-(CICLOHEXILMETIL)-1H-INDAZOL-3-CARBOXAMIDA

59.

AB-PINACA

ou

N-[(2S)-1-AMINO-3-METIL-1-OXOBUTAN-2-IL]-1-PENTIL-1H-INDAZOL-3-CARBOXAMIDA

60.

ADB-CHMINACA

ou

MAB-CHMINACA; N-(-1-AMINO-3,3-DIMETIL-1-OXOBUTAN-2-IL)-1- (CICLOHEXILMETIL)-1-H-INDAZOL-3-CARBOXAMIDA

61.

ADB-FUBINACA

ou

N-(1-AMINO-3,3-DIMETIL-1-OXOBUTAN-2-IL)-1-(4-FLUOROBENZIL)-1H-INDAZOL-3-CARBOXAMIDA

62. 

ALFA-EAPP

ou

ALFA-ETILAMINOPENTIOFENONA; 2-(ETILAMINO)-1-FENILPENTAN-1-ONA

63. 

ALFA-PVP

ou

1-FENIL-2-(PIRROLIDIN-1-IL)PENTAN-1-ONA)

64. 

AKB48

ou

APINACA; N-ADAMANTIL-1-PENTILINDAZOL-3-CARBOXAMIDA

65. 

AM-2201

ou

(1-(5-FLUOROPENTIL)-1H-INDOL-3-IL)-1-NAFTALENIL- METANONA

66. 

AMT

ou

 

ALFA-METILTRIPTAMINA

67. 

BENZOFETAMINA

ou

N-BENZIL-N,ALFA-DIMETILFENETILAMINA

68. 

BETACETO-DMBDB

ou

DIBUTILONA; METILBUTILONA; k-DMBDB; k-MMBDB; 1- BENZO[D] [1,3]DIOXOL-5-IL)-2-(DIMETILAMINO)BUTAN-1-ONA

69. 

BROLANFETAMINA

ou

DOB; (±)-4-BROMO-2,5-DIMETOXI-ALFA-METILFENETILAMINA

70.

BZP

ou

1-BENZILPIPERAZINA

71. 

CATINONA

ou

(-)-(S)-2-AMINOPROPIOFENONA

72.

CUMYL-4-CN-BINACA

ou

SGT-78; 4-CN-CUMYL-BINACA; CUMYL-CB-PINACA; CUMYL-CYBINACA; 4-CYANO CUMYL-BUTINACA; 1-(4-CIANOBUTIL)-N-(1-METIL-1-FENILETIL)-1H-INDAZOL-3- CARBOXAMIDA

73. 

DET

ou

3-[2-(DIETILAMINO)ETIL]INDOL

74.

DIFENIDINA

ou

1-(1,2-DIFENILETIL)PIPERIDINA; DEP

75. 

DIIDRO-LSD

ou

(8)-N,N-DIETIL-6-METIL-9,10-DIDEHIDRO-2,3-DIHIDROERGOLINA-8-CARBOXAMIDA

76. 

DIMETILONA

ou

bk-MDDMA; bk-DMBDP; 1-(BENZO[d][1,3]DIOXOL-5-IL)-2-(DIMETILAMINO)PROPAN-1-ONA

77. 

DMA

ou

(±)-2,5-DIMETOXI-ALFA-METILFENETILAMINA

78. 

DMAA

ou

1,3-DIMETILAMILAMINA; 4-METILHEXAN-2-AMINA

79. 

DMBA

ou

1,3-DIMETILBUTILAMINA; 4-METILPENTAN-2-AMINA

80. 

DMHP

ou

3-(1,2-DIMETILHEPTIL)-7,8,9,10-TETRAHIDRO-6,6,9-TRIMETIL-6H-DIBENZO[B,D]PIRANO-1-OL

81. 

DMT

ou

3-[2-(DIMETILAMINO)ETIL] INDOL ; N,N-DIMETILTRIPTAMINA

82. 

DOC

ou

4-CLORO-2,5-DIMETOXIANFETAMINA

83. 

DOET

ou

(±)–4-ETIL-2,5-DIMETOXI-ALFA-METILFENETILAMINA

84. 

DOI

ou

4-IODO-2,5-DIMETOXIANFETAMINA

85. 

EAM-2201

ou

(1-(5-FLUOROPENTIL)-1H-INDOL-3-IL)-(4-ETIL-1-NAFTALENIL)-METANONA

86. 

ERGINA

ou

LSA (AMIDA DO ÁCIDO D-LISÉRGICO)

87. 

ETICICLIDINA

ou

PCE ; N-ETIL-1-FENILCICLOHEXILAMINA

88. 

ETILFENIDATO

ou

ACETATO DE ETIL-2-FENIL-2-(PIPERIDIN-2-IL)

89. 

ETILONA

ou

k-MDEA; MDEC; 1-(1,3-BENZODIOXOL-5-IL)-2-(ETILAMINO)-1-PROPANONA

90.

ETRIPTAMINA

ou

3-(2-AMINOBUTIL)INDOL

91.

FUB-AMB

ou

AMB-FUBINACA; MMB-FUBINACA; METIL (2S)-2-[[1-[(4-FLUOROFENIL)METIL]INDAZOL-3-CARBONIL]AMINO]-3- METILBUTANOATO

92. 

JWH-018

ou

1-NAFTALENIL-(1-PENTIL-1H-INDOL-3-IL)-METANONA

93. 

JWH-071

ou

(1-ETIL-1H-INDOL-3-IL)-1-NAFTALENIL-METANONA

94. 

JWH-072

ou

(1-PROPILINDOL-3-IL)NAFTALEN-1-IL-METANONA

95. 

JWH-073

ou

NAFTALEN-1-IL(1-BUTILINDOL-3-IL) METANONA

96.

JWH-081

ou

4-METOXINAFTALEN-1-IL-(1-PENTILINDOL-3-IL)  METANONA

97. 

JWH-098

ou

(4-METOXI1-NAFTALENIL)(2-METIL-1- PENTIL-1H-INDOL-3-IL) METANONA

98. 

JWH-122

ou

4-METILNAFTALEN-1-IL-(1-PENTILINDOL-3-IL) METANONA

99. 

JWH-210

ou

4-ETILNAFTALEN-1-IL-(1-PENTILINDOL-3-IL) METANONA

100. 

JWH-250

ou

2-(2-METOXIFENIL)-1-(1-PENTIL-1-INDOL-3-IL) ETANONA

101. 

JWH-251

ou

2-(2-METILFENIL)-1-(1-PENTIL-1H-INDOL-3-IL) ETANONA

102. 

JWH-252

ou

1-(2-METIL-1-PENTILINDOL-3-IL)-2-(2-METILFENIL) ETANONA

103. 

JWH-253

ou

1-(2-METIL-1-PENTIL-1H-INDOL-3-IL)-2-(3-METOXI-FENIL) ETANONA

104. 

MAM-2201

ou

(1-(5-FLUOROPENTIL)-1H-INDOL-3-IL](4-METIL-1-NAFTALENIL)-METANONA

105. 

MAM-2201 N-(4-hidroxipentil)

ou

[1-(5-FLUORO-4-HIDROXIPENTIL)-1H-INDOL-3-IL](4-METIL-1-NAFTALENIL)METANONA

106. 

MAM-2201 N-(5-cloropentil)

ou

[1-(5-CLOROPENTIL)-1H-INDOL-3-IL](4-METIL-1-NAFTALENIL)METANONA

107. 

mCPP

ou

1-(3-CLOROFENIL)PIPERAZINA

108. 

MDAI

ou

5,6-METILENODIOXI-2-AMINOINDANO

109. 

MDE

ou

MDEA; N-ETIL MDA; (±)-N-ETIL-ALFA-METIL-3,4-(METILENEDIOXI)FENETILAMINA

110. 

MDMA

ou

(±)-N,ALFA-DIMETIL-3,4-(METILENODIOXI)FENETILAMINA; 3,4 METILENODIOXIMETANFETAMINA

111. 

MECLOQUALONA

ou

3-(O-CLOROFENIL)-2-METIL-4(3H)-QUINAZOLINONA

112. 

MEFEDRONA

ou

2-METILAMINO-1-(4-METILFENIL)-PROPAN-1-ONA

113. 

MESCALINA

ou

3,4,5-TRIMETOXIFENETILAMINA

114.

METALILESCALINA

ou

2-[3,5-DIMETOXI-4-(2-METILPROP-2-ENOXI)FENIL]ETANAMINA

115. 

METANFETAMINA

116. 

METAQUALONA

ou

2-METIL-3-O-TOLIL-4(3H)-QUINAZOLINONA

117. 

METCATINONA

ou

2-(METILAMINO)-1-FENILPROPAN-1-ONA

118. 

METILONA

ou

k-MDMA; MDMC; 1-(1,3-BENZODIOXOL-5-IL)-2-(METILAMINO)-1- PROPANONA

119. 

METIOPROPAMINA

ou

N-METIL-1-TIOFEN-2-ILPROPAN-2-AMINA

120. 

MMDA

ou

5-METOXI-ALFA-METIL-3,4-(METILENODIOXI)FENETILAMINA

121. 

MXE

ou

METOXETAMINA; 2-(ETILAMINO)-2-(3-METOXIFENIL)-CICLOHEXANONA

122. 

N-ACETIL-3,4-MDMC

ou

N-ACETIL-3,4-METILENODIOXIMETCATINONA; N-ACETILMETILONA; N-[2-(1,3-BENZODIOXOL-5-IL)-1-METIL-2-OXOETIL]-N-METIL-ACETAMIDA

123. 

N-ETILCATINONA

ou

2-(ETILAMINA)-1-FENILPROPAN-1-ONA

124. 

N-ETILHEXEDRONA

ou

2-(ETILAMINO)-1-FENILHEXAN-1-ONA; HEXEN; NEH

125. 

N-ETILPENTILONA

ou

EFILONA; N-ETILNORPENTILONA;1-(2H-1,3-BENZODIOXOL-5-IL)-2-(ETILAMINO)PENTAN-1-ONA; 1-(BENZO[D][1,3]DIOXOL-5-IL)-2-(ETILAMINO)PENTAN-1-ONA

126. 

PARAHEXILA

ou

3-HEXIL-7,8,9,10-TETRAHIDRO-6,6,9-TRIMETIL-6H-DIBENZO[B,D]PIRANO-1-OL

127. 

PENTEDRONA

ou

2-(METILAMINO)-1-FENIL-PENTAN-1-ONA

128. 

PENTILONA

ou

bk-MBDP; k-MBDP; bk-METIL-K; 1-(BENZO[d][1,3]DIOXOL-5-IL)-2-(METILAMINO)PENTAN-1-ONA

129. 

PMA

ou

P-METOXI-ALFA-METILFENETILAMINA

130. 

PMMA

ou

PARA-METOXIMETANFETAMINA; [1-(4-METOXIFENIL)PROPANO-2-IL](METIL)AZANO]

131. 

PSILOCIBINA

ou

FOSFATO DIIDROGENADO DE 3-[2-(DIMETILAMINOETIL)]INDOL-4-ILO

132. 

PSILOCINA

ou

PSILOTSINA ; 3-[2-(DIMETILAMINO)ETIL]INDOL-4-OL 

133.

RH-34

ou

3-(2-((2-METOXIBENZIL)AMINO)ETIL)QUINAZOLINA-2,4(1H,3H)-DIONA

134. 

ROLICICLIDINA

ou

PHP; PCPY ; 1-(1-FENILCICLOHEXIL)PIRROLIDINA

135. 

SALVINORINA A

ou

Metil (2S,4aR,6aR,7R,9S,10aS,10bR)-9-acetoxi-2-(3-furil)-6a,10b-dimetil-4,10-dioxododecahidro-2H-benzo[f]isocromeno-7-carboxilato

136. 

STP

ou

DOM ; 2,5-DIMETOXI-ALFA,4-DIMETILFENETILAMINA

137. 

TENANFETAMINA

ou

MDA; ALFA-METIL-3,4-(METILENODIOXI)FENETILAMINA

138. 

TENOCICLIDINA

ou

TCP ; 1-[1-(2-TIENIL)CICLOHEXIL]PIPERIDINA

139. 

TETRAHIDROCANNABINOL

ou

THC

140. 

TH-PVP

ou

2-(PIRROLIDIN-1-IL)-1-(5,6,7,8-TETRAHIDRONAFTALEN-2-IL)PENTAN-1-ONA

141. 

TMA

ou

 (±)-3,4,5-TRIMETOXI-ALFA-METILFENETILAMINA

142. 

TFMPP

ou

1-(3-TRIFLUORMETILFENIL)PIPERAZINA

143. 

UR-144

ou

(1-​PENTIL-​1H-​INDOL-​3-​IL)​(2,​2,​3,​3-​TETRAMETILCICLOPROP​IL)​-METANONA 

144. 

XLR-11

ou

5F-UR-144; [1-(5-FLUOROPENTIL)-1H-INDOL-3-IL](2,2,3,3-TETRAMETILCICLOPROPIL)-METANONA

145. 

ZIPEPROL

ou

ALFA-(ALFA-METOXIBENZIL)-4-(BETA-METOXIFENETIL)-1-PIPERAZINAETANOL

b) CLASSES ESTRUTURAIS DOS CANABINOIDES SINTÉTICOS – Ficam também sob controle desta Lista as substâncias canabimiméticas que se enquadram nas seguintes classes estruturais: 

1. Qualquer substância que apresente uma estrutura 2-(ciclohexil)fenol (estrutura 1):

1.1 Com substituição na posição 1 do anel benzênico por um grupo (-OR1) hidroxil, alcoxi (éter) ou carboxialquil (éster);

1.2 Substituída na posição 5 (-R2)  do anel benzênico em qualquer extensão;

1.3 Substituída ou não nas posições 3’ (-R3) e/ou 6’ (-R4)  em qualquer extensão no anel ciclo-hexil;

1.4 Que apresente ou não uma insaturação entre as posições 2’ e 3’ do anel ciclohexil substituinte;

1.5 Substituída ou não no anel benzênico em qualquer extensão (-R5). 

2.        Qualquer substância que apresente uma estrutura naftalen-1-il(1H-indol-3-il)metanona (estrutura 2) ou naftalen-1-il(1H-indol-3-il)metano (estrutura 3):

2.1 Substituída no átomo de nitrogênio do anel indol (-R1);

2.2 Se ou não substituído no anel indol em qualquer extensão (-R2 e -R2’);

2.3 Se ou não substituído no anel naftoil ou no anel naftil em qualquer extensão (-R3 e -R3’). 

 

1. Qualquer substância que apresente uma estrutura naftalen-1-il(1H-pirrol-3-il)metanona (estrutura 4):

3.1 Substituída no átomo de nitrogênio do anel pirrol (-R1);

3.2 Substituída ou não no anel pirrol em qualquer extensão (-R2);

3.3 Substituída ou não no anel naftoil em qualquer extensão (-R3 e -R3’). 

1.        Qualquer substância que apresente uma estrutura fenil(1H-indol-3-il)metanona (estrutura 5) ou fenil(1H-indol-3-il)etanona (estrutura 6):

4.1 Substituída no átomo de nitrogênio do anel indol (-R1);

4.2 Se ou não substituído no anel indol em qualquer extensão (-R2 e -R2’);

4.3 Se ou não substituído no anel fenil em qualquer extensão (-R3).

 

1.        Qualquer substância que apresente uma estrutura ciclopropil(1H-indol-3-il)metanona (estrutura 7):

5.1 Substituída no átomo de nitrogênio do anel indol (-R1);

5.2 Substituída ou não no anel indol em qualquer extensão (-R2 e -R2’);

5.3 Substituída ou não no anel ciclopropil em qualquer extensão (-R3, -R3’, -R3’’ e -R3’’’).

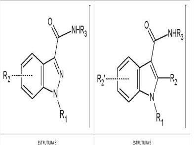
1.        Qualquer substância que apresente uma estrutura 1H-indazol-3-carboxamida (estrutura 8) ou 1H-indol-3-carboxamida (estrutura 9):

6.1 Substituída no átomo de nitrogênio do anel indazol ou indol (-R1);

6.2 Substituída ou não no anel indazol (-R2) ou indol (-R2 e -R2’) em qualquer extensão;

6.3 Substituída ou não no grupo carboxamida em qualquer extensão (-R3).

1.        Qualquer substância que apresente uma estrutura quinolin-8-il(1H-indol-3-il)carboxilato (estrutura 10):

7.1 Substituída no átomo de nitrogênio do anel indol (-R1);

7.2 Substituída ou não no anel indol (-R2 e -R2’) em qualquer extensão;

7.3 Substituída ou não no anel quinolil em qualquer extensão (-R3 e -R3’).

 

c) CLASSE ESTRUTURAL DAS CATINONAS SINTÉTICAS – Ficam também sob controle desta Lista as catinonas sintéticas que se enquadram na seguinte classe estrutural:

1.Qualquer substância que apresente uma estrutura 2–aminopropan–1–ona (estrutura 11):

1.1 Substituída no átomo de carbono da carbonila (posição 1) por qualquer monociclo ou sistema de anéis policíclicos fundidos;

1.2 Substituída ou não por um ou mais substituintes no monociclo ou sistema de anéis policíclicos fundidos (-R1), em qualquer extensão, por grupos alquil, alcóxi, haloalquil, haleto ou hidróxi;

1.3 Substituída ou não no átomo de nitrogênio (-R2 e -R3) por um ou dois grupos alquil, aril ou alquil-aril ou por inclusão do átomo de nitrogênio em uma estrutura cíclica;

1.4 Substituída ou não na posição 2 (-R4) por um grupo metil.

1.5 Substituída ou não na posição 3 (-R5) por um grupo alquil. 

d) CLASSES ESTRUTURAIS DAS FENILETILAMINAS – Ficam também sob controle desta Lista as feniletilaminas que se enquadram nas seguintes classes estruturais: 

1. Qualquer substância que apresente uma estrutura 1-feniletan-2-amina (estruturas 12 e 13):

1.1. Substituída no anel benzênico:

1.1.1. em -R6 e -R7, por dois grupos alquil ou haloalquil na estrutura 12; ou

1.1.2. em -R6 e -R7, por um grupo alquil e um grupo haloalquil na estrutura 12; ou

1.1.3. em carbonos adjacentes, resultando na formação de um ou dois grupos furano, dihidrofurano, tetrahidrofurano, pirano, dihidropirano, pirrol, metilenodioxi ou etilenodioxi na estrutura 13.

1.2. Adicionalmente, substituída ou não no anel benzênico (-R5), em qualquer posição, por um ou mais substituintes alcóxi, alquil, alquenil, alquinil, haleto, haloalquil, hidróxi, nitro, selenioalquil ou tioalquil;

1.3. Substituída ou não na posição 1 (-R4), por grupos acetil, alcóxi, alquil, cicloalquil ou hidróxi;

1.4. Substituída ou não, na posição 2 (-R3), por grupo alquil;

1.5. Substituída ou não, por um ou dois substituintes, no átomo de nitrogênio (-R1 e -R2), por grupos acetil, alquil, benzil, benzil substituído em uma ou mais posições, hidróxi, hidróxi-alquil ou pela inclusão do átomo de nitrogênio em estrutura cíclica. 

2. Qualquer substância que apresente uma estrutura 1-fenilpropan-2-amina (estrutura 14):

2.1. Substituída ou não, em qualquer posição, no anel benzênico, por um ou mais substituintes alcóxi, alquil, cicloalquil, haleto, haloalquil, hidróxi, nitro, selenioalquil ou tioalquil (-R5);

2.2. Substituída ou não, na posição 1 (-R4), por grupos acetil, alcóxi, alquil, cicloalquil ou hidróxi;

2.3. Substituída ou não, na posição 3, por grupo alquil (-R3);

2.4. Substituída ou não, por um ou dois substituintes, no átomo de nitrogênio (-R1 e -R2), por grupos alquil, acetil, hidróxi, hidróxi-alquil, benzil, benzil substituído em qualquer posição ou pela inclusão do átomo de nitrogênio em estrutura cíclica. 

ADENDO:

 1) ficam também sob controle:

1.1. sempre que seja possível a sua existência, todos os sais e isômeros das substâncias desta Lista.

1.2. os seguintes isômeros e suas variantes estereoquímicas da substância TETRAHIDROCANNABINOL:

 7,8,9,10-tetrahidro-6,6,9-trimetil-3-pentil-6H-dibenzo[b,d]pirano-1-ol

 (9R,10aR)-8,9,10,10a-tetrahidro-6,6,9-trimetil-3-pentil-6H-dibenzo[b,d]pirano-1-ol

 (6aR,9R,10aR)-6a,9,10,10a-tetrahidro-6,6,9-trimetil-3-pentil-6H-dibenzo[b,d]pirano-1-ol

 (6aR,10aR)-6a,7,10,10a-tetrahidro-6,6,9-trimetil-3-pentil-6H-dibenzo[b,d]pirano-1-ol

 6a,7,8,9-tetrahidro-6,6,9-trimetil-3-pentil-6H-dibenzo[b,d]pirano-1-ol

 (6aR,10aR)-6a,7,8,9,10,10a-hexahidro-6,6-dimetil-9-metileno-3-pentil-6H-dibenzo[b,d]pirano-1-ol

2) excetua-se dos controles referentes a esta Lista, o isômero fentermina que está relacionado na Lista “B2” deste Regulamento.

3) excetua-se dos controles referentes a esta lista a substância canabidiol, que está relacionada na Lista “C1” deste Regulamento.

4) excetua-se das disposições legais deste Regulamento Técnico a substância ropivacaína.

5) excetua-se dos controles referentes a esta Lista a substância milnaciprana, que está relacionada na lista “C1” deste Regulamento.

6) excetuam-se dos controles referentes a esta lista os medicamentos registrados na Anvisa que possuam em sua formulação a substância tetrahidrocannabinol (THC), desde que sejam atendidas as exigências a serem regulamentadas previamente à concessão do registro.

7) excetuam-se dos controles referentes a esta Lista os isômeros das substâncias classificadas nos itens "b", "c" ou "d", desde que esses isômeros não se enquadrem em nenhuma das classes estruturais descritas nos referidos itens e nem sejam isômeros de substâncias descritas nominalmente no item "a" desta Lista.

8) excetuam-se dos controles referentes aos itens "b", "c" e "d" quaisquer substâncias que estejam descritas nominalmente nas listas deste Regulamento

9) excetua-se dos controles referentes a esta Lista o isômero metazocina, que está relacionado na Lista “A1” deste Regulamento.

10) excetua-se das disposições legais deste Regulamento Técnico a substância mepivacaína.

11) excetua-se dos controles referentes a esta Lista o isômero fendimetrazina, que está relacionado na Lista “B2” deste regulamento.

12) excetua-se das disposições legais deste Regulamento Técnico a substância DEET (N,N-dietil-3-metilbenzamida).

13) excetua-se dos controles referentes a esta Lista o isômero pentazocina, que está relacionado na Lista “B1” deste Regulamento.

14) excetuam-se dos controles referentes a esta Lista os isômeros relacionados nominalmente em outra Lista deste Regulamento.

15) excetuam-se dos controles referentes a esta Lista as substâncias componentes de medicamentos registrados na Anvisa que se enquadrem nos itens "b", "c" ou "d", bem como os medicamentos que as contenham.

16) A importação e a exportação de padrões analíticos à base das substâncias 2C-C, 2C-D, 2C-E, 2C-F, 2C-I, 2C-T-2, 2C-T-7, 2-MeO-DIFENIDINA, 3-FLUOROFENMETRAZINA, 3-MeO-PCP, 4-AcO-DMT, 4-BROMOMETCATINONA, 4-Cl-ALFA-PVP, 4-CLOROMETCATINONA, 4-FLUOROMETCATINONA, 4-HO-MIPT, 4-MEAPP, 5-APB, 5-APDB, 5-EAPB, 5-IAI, 5-MAPDB, 5-MeO-AMT, 5-MeO-DALT, 5-MeO-DIPT, 5-MeO-DMT, 5-MeO-MIPT, 25B-NBOH, 25C-NBF, 25C-NBOH, 25D-NBOME, 25E-NBOH, 25E-NBOME, 25H-NBOH, 25H-NBOME, 25I-NBF, 25I-NBOH, 25N-NBOME, 25P-NBOME, 25T2-NBOME, 25T4-NBOME, 25T7-NBOME, 30C-NBOMe, AKB48, ALFA-EAPP, AMT, BETACETO-DMBDB, DIIDRO-LSD, DIFENIDINA, DIMETILONA, DMAA,DMBA, DOC, DOI, EAM-2201, ERGINA, JWH-071, JWH-072, JWH-081, JWH-098, JWH-122, JWH-210, JWH-250, JWH-251, JWH-252, JWH-253, MAM-2201, MAM-2201 N-(4-hidroxipentil), MAM-2201 N-(5-cloropentil), mCPP, MDAI, METALILESCALINA, N-ACETIL-3,4-MDMC, N-ETILCATINONA, N-ETILHEXEDRONA, PENTILONA, RH-34, SALVINORINA A, TH-PVP e TFMPP, em que a quantidade do ativo sujeito a controle especial não exceda 500 mg por unidade, não requer Autorização de Importação e Autorização de Exportação, respectivamente. O disposto neste adendo também se aplica aos padrões analíticos à base dos sais e isômeros das substâncias citadas, a menos que sejam explicitamente excetuados ou constantes de listas de controle mais restrito e desde que a quantidade do ativo sujeito a controle especial não ultrapasse o limite especificado. 

17) excetuam-se dos controles referentes a esta lista os isômeros não listados nominalmente e que sejam componentes de medicamentos registrados na Anvisa, bem como os medicamentos que os contenham. 

LISTA F3 – SUBSTÂNCIAS PRECURSORAS 

1. FENILPROPANOLAMINA OU NOREFEDRINA 

ADENDO:

1) ficam também sob controle todos os sais e isômeros das substâncias enumeradas acima, sempre que seja possível a sua existência.

2) excetuam-se dos controles referentes a esta Lista os isômeros relacionados nominalmente em outra Lista deste regulamento.

3) excetuam-se dos controles referentes a esta lista os isômeros não listados nominalmente e que sejam componentes de medicamentos registrados na Anvisa, bem como os medicamentos que os contenham. 

LISTA F4 – OUTRAS SUBSTÂNCIAS 

1.DEXFENFLURAMINA

2.DINITROFENOL

3.ESTRICNINA

4.ETRETINATO

5.FENFLURAMINA

6.LINDANO

7.TERFENADINA 

ADENDO:

1) ficam também sob controle todos os sais e isômeros das substâncias enumeradas acima, sempre que seja possível a sua existência.

2) fica autorizado o uso de LINDANO como padrão analítico para fins laboratoriais ou monitoramento de resíduos ambientais, conforme legislação específica.

3) excetuam-se dos controles referentes a esta Lista os isômeros relacionados nominalmente em outra Lista deste regulamento.

4) A importação e a exportação de padrões analíticos à base de substâncias constantes desta lista, em que a quantidade do ativo sujeito a controle especial não exceda 500 mg por unidade, não requer Autorização de Importação e Autorização de Exportação, respectivamente. O disposto neste adendo também se aplica aos padrões analíticos à base dos sais e isômeros das substâncias, a menos que sejam explicitamente excetuados ou constantes de listas de controle mais restrito e desde que a quantidade do ativo sujeito a controle especial não ultrapasse o limite especificado.

5) excetuam-se dos controles referentes a esta lista os isômeros não listados nominalmente e que sejam componentes de medicamentos registrados na Anvisa, bem como os medicamentos que os contenham.